-
“南鲲”试运行!每天可发电2.4万度的它有这些“超能力”……
大足科普网 2023-10-01 00:54
-
破解“天书”!谷子高质量图基因组解密
大足科普网 2023-10-01 00:54
-
从灭绝边缘到曙光重现 黄胸鹀重新回归
大足科普网 2023-10-01 00:53
-
微型神经形态设备模拟人类视觉和记忆
大足科普网 2023-10-01 00:53
-
十亿年前岩石中发现“失落的世界”
大足科普网 2023-10-01 00:52
-
科技赋能生态,鸟儿幸福指数飙升
大足科普网 2023-10-01 00:52
-
换装“中国心”!国内首台150兆瓦级大型冲击式转轮成功投运
大足科普网 2023-10-01 00:52
-
高产又抗虫!我国科研人员首次揭示植物抗虫分子机制
大足科普网 2023-10-01 00:52
-
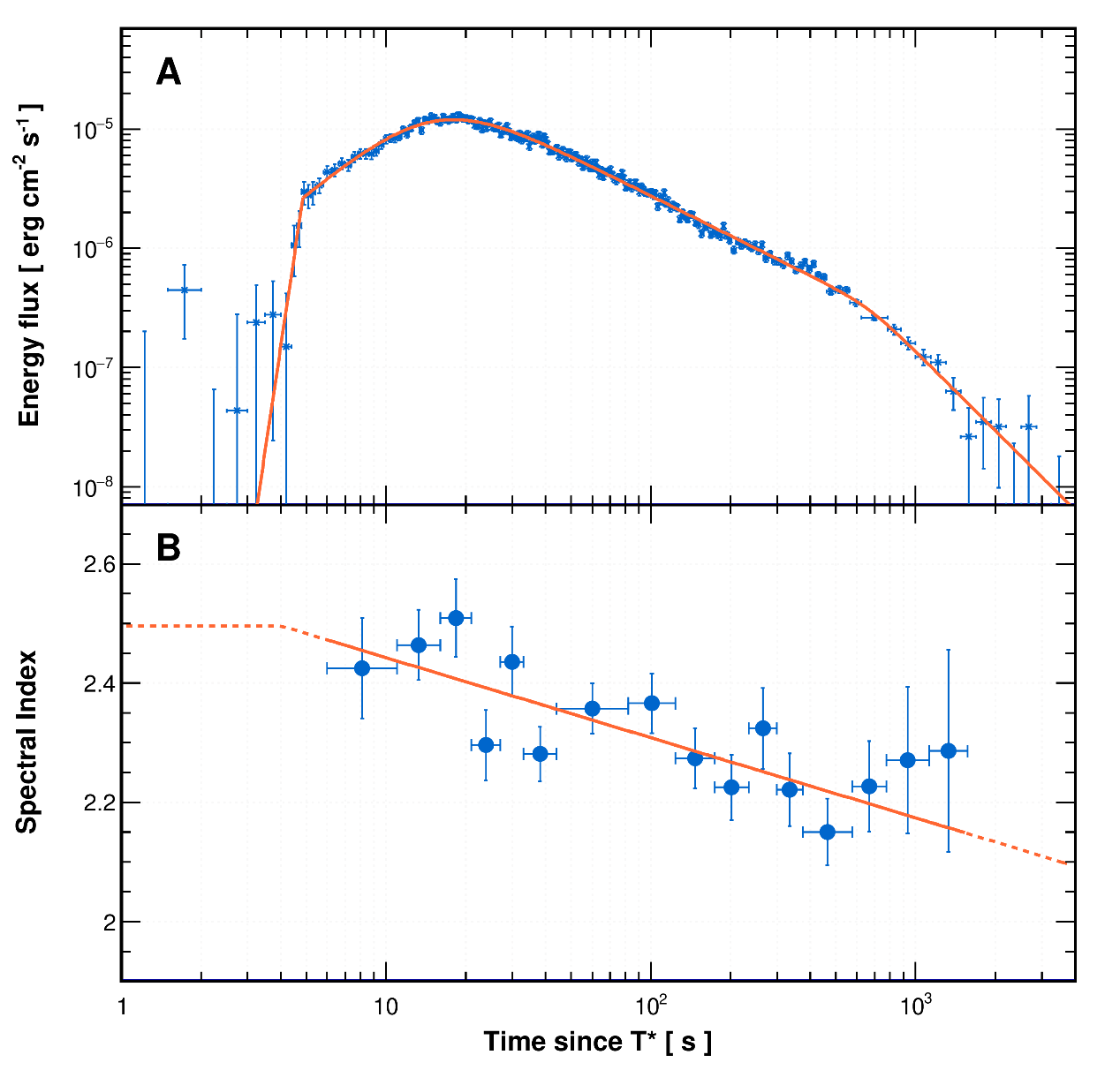
“拉索”首次精确刻画高能光子爆发全过程
大足科普网 2023-10-01 00:52
-
纳米技术将创造未来药物新样态
大足科普网 2023-10-01 00:52



公安备案号 50011202501662